41.16. ¿A
qué rapidez se debe mover una partícula para que y (gamma) sea 2.0?
41.17. Una partícula viaja con una rapidez v tal
que v/c=0.99. Determine para la
partícula.
41.18.
Calcule
la energía en reposo de un electrón, es decir, la energía
equivalente a su masa, 9.11 x10-31 kg.
41.19. Determinar la rapidez de un electrón que
tiene una energía cinetica de 1.0x10+5 eV (o equivalente 1.6x10-19 J ).
41.22. Cierta bacteria duplica su
número cada 20 días. Dos de estás bacterias se colocan en una nave durante 1000
días terrestres. En este tiempo. La velocidad de la nave es de 0.9950c.
¿Cuántas bacterias estarán a borde de la nave cuando aterrice sobre la tierra?
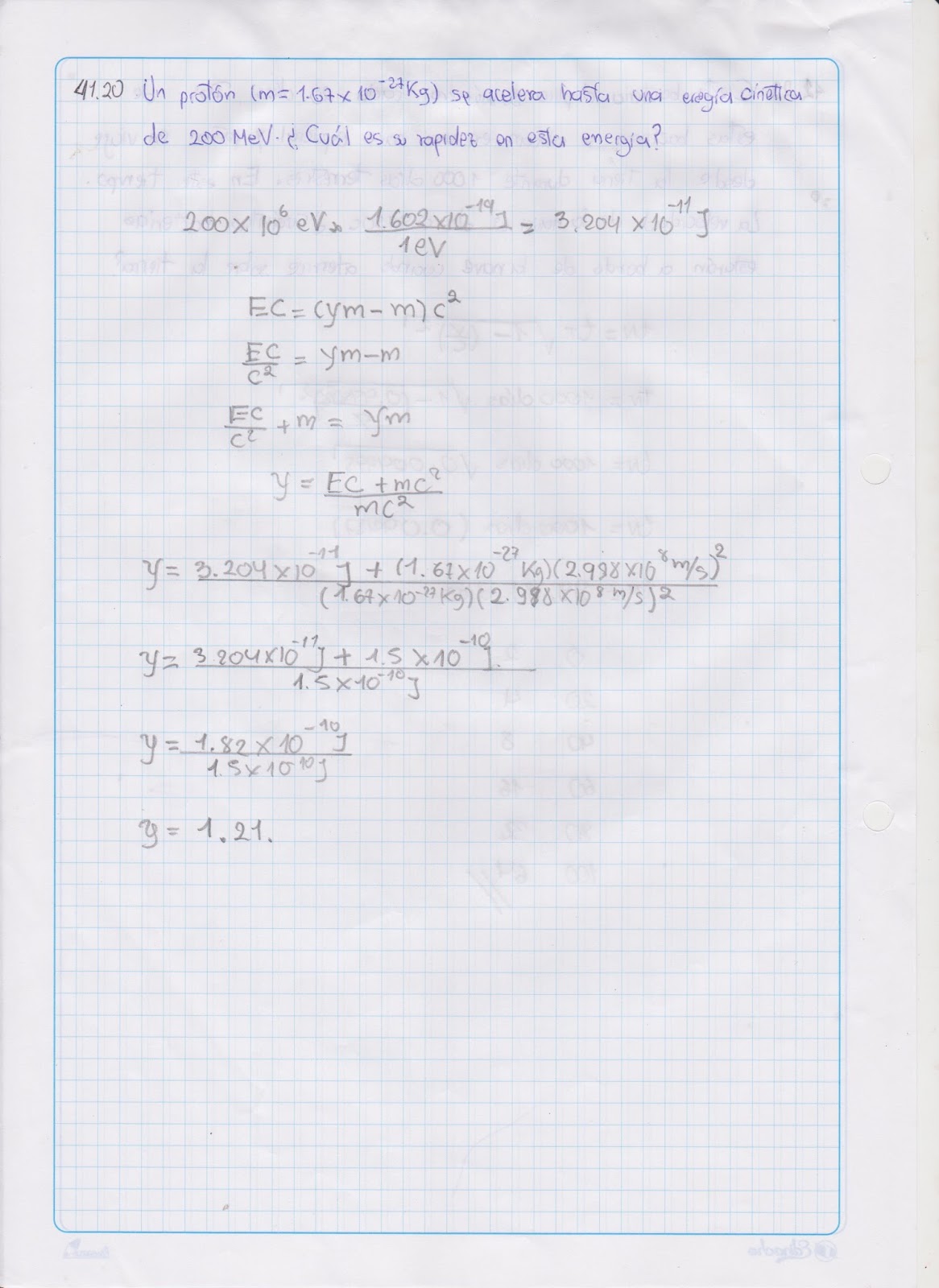
41.20. Un protón (m=1.64x10-27
kg) se acelera hasta una energía cinética de 200MeV ¿Cuál es su rapidez en esta
energía?
41.25 Cuando una nave espacial,
que se mueve a 0.92c. Pasa junto a un
observador de la tierra, éste y los ocupantes de la nave ponen a funcionar la
alarma de sus relojes idénticos para que suenen después de que hayan pasado
6.0h de acuerdo con los observadores de
la tierra ¿Cuánto marcará el reloj de la tierra cuando suene la alarma del
reloj de la nave?








en verdad muchas gracias, me has salvado. mas gente como tu.
ResponderBorrarSaludos, una pregunta de casualidad tendrás la 41.24 y 41.26?
ResponderBorrar